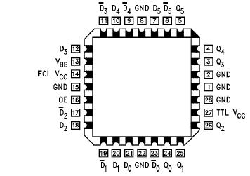
Features: Operates from a single +5V supply3-STATE outputs2000V ESD protectionVBB supplied for single-ended operationPinoutSpecificationsStorage Temperature −65°C to +150°CMaximum Junction Temperature +150°CVCC Pin Potential to Ground Pin −0.5V to +7.0VTTL Input Voltage (Note 2) −...
100390: Features: Operates from a single +5V supply3-STATE outputs2000V ESD protectionVBB supplied for single-ended operationPinoutSpecificationsStorage Temperature −65°C to +150°CMaximum Junction Tem...
SeekIC Buyer Protection PLUS - newly updated for 2013!
268 Transactions
All payment methods are secure and covered by SeekIC Buyer Protection PLUS.

The 100390 is a hex translator for converting F100K logic levels to TTL logic levels. Unlike other level translators, the 100390 operates using only one +5V supply. Differential inputs allow each circuit to be used as an inverting, noninverting, or differential receiver. An internal reference generator provides VBB for single-ended operation. The standard FAST®3-STATE outputs are enabled by a common active low TTL compatible OE input. Partitioned VCCs on chip are brought out on separate power pins, allowing the noisy TTL VCC power plane to be isolated from the relatively quiet ECL VCC. The 100390 is ideal for applications limited to a single +5V supply, allowing for easy ECL to TTL Interfacing.