Features: ` Low cost` True rms conversion` 0.5% of reading accuracy untrimmed` 0.05% of reading accuracy with external trim` Minimum component count` Input voltage to ±15V peak for VS=±15V` Uncommitted amplifier for filtering, gain, or high crest factor configuration` Military or commercial temper...
LH0091: Features: ` Low cost` True rms conversion` 0.5% of reading accuracy untrimmed` 0.05% of reading accuracy with external trim` Minimum component count` Input voltage to ±15V peak for VS=±15V` Uncommit...
SeekIC Buyer Protection PLUS - newly updated for 2013!
268 Transactions
All payment methods are secure and covered by SeekIC Buyer Protection PLUS.
` Low cost
` True rms conversion
` 0.5% of reading accuracy untrimmed
` 0.05% of reading accuracy with external trim
` Minimum component count
` Input voltage to ±15V peak for VS=±15V
` Uncommitted amplifier for filtering, gain, or high crest factor configuration
` Military or commercial temperature range.
If Military/Aerospace specified devices are required, please contact the National Semiconductor Sales Office/Distributors for availability and specifications.
Supply Voltage. . . . . . . . . . . .. . . . . .. . . . . .±22V
Input Voltage . . .. . . . . .. . . . . .. . . . . .±15V peak
Output Short Circuit Duration. . . . . . Continuous
Operating Temperature Range
TMIN TMAX
LH0091C -25 85
Storage Temperature Range
LH0091C -25 to +85
Lead Temp. (Soldering, 10 seconds) . . . . . .260
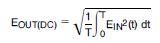
The LH0091, rms to dc converter generates a dc output equal to the rms value of any input per the transfer function:

The LH0091 provides rms conversion to an accuracy of 0.1% of reading using the external trim procedure. It is possible to trim for maximum accuracy (0.5 mVg0.05% typ) for decade ranges i.e., 10 mV100 mV, 0.7V7V, etc.