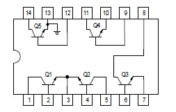
PinoutSpecifications Rating Symbol Value Unit CollectorEmitter Voltage VCEO 15 Vdc CollectorBase Voltage VCBO 20 Vdc EmitterBase Voltage VEB 5.0 Vdc CollectorSubstrate Voltage VCIO 20 Vdc Collector Current Continuous IC 50 mAdc Total Power Dissipa...
MC3346: PinoutSpecifications Rating Symbol Value Unit CollectorEmitter Voltage VCEO 15 Vdc CollectorBase Voltage VCBO 20 Vdc EmitterBase Voltage VEB 5.0 Vdc CollectorSubstr...
SeekIC Buyer Protection PLUS - newly updated for 2013!
268 Transactions
All payment methods are secure and covered by SeekIC Buyer Protection PLUS.

| Rating | Symbol | Value | Unit |
| CollectorEmitter Voltage | VCEO | 15 | Vdc |
| CollectorBase Voltage | VCBO |
|
Vdc |
| EmitterBase Voltage | VEB | 5.0 | Vdc |
| CollectorSubstrate Voltage | VCIO | 20 | Vdc |
| Collector Current Continuous | IC |
50 |
mAdc |
| Total Power Dissipation @ TA = 25°C Derate above 25°C |
PD | 1.2 10 |
W mW/°C |
| Operating Temperature Range | TA | 40 to +85 | °C |
| Storage Temperature Range | Tstg | 65 to +150 | °C |