Published:2009/6/18 4:07:00 Author:May | From:SeekIC












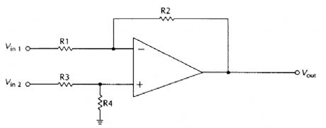
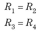
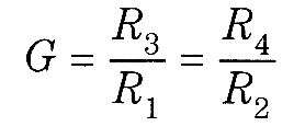
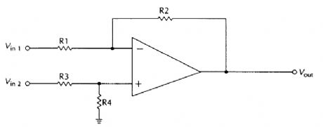
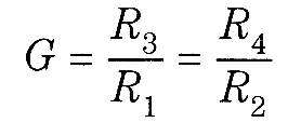
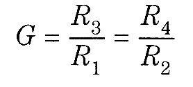
In most cases, R1 is equal to R2 and R3, has the same value as R4 These equalities don't always have to be true, but they do significantly simplify the circuit design in most practical applications. In any case, for a true differential amplifier, the R3,:R1and R2;R4 ratios must be equal. That is:The circuit still functions even if these ratios are not maintained, but the signals at the inverting and noninverting inputs are subjected to differing amounts of gain, which would be undesirable in most practical applications.These resistance ratioi determine the gain of the amplifier:Assuming that the resistance ratios are maintained, the output voltage is equal to the differences between the two input voltages, multiplied by the gain. That is,
Reprinted Url Of This Article:
http://www.seekic.com/circuit_diagram/Amplifier_Circuit/BASIC_OP_AMP_DIFFERENTIAL_AMPLIFIER.html
Print this Page | Comments | Reading(3)
Code: