Published:2011/5/13 3:06:00 Author:Rebekka | Keyword: Simple differential amplifier | From:SeekIC


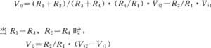
Simple differential amplifier circuit is shown as above. Two input signals Vi1 and Vi2 are added to the input terminal after passing the R1 and R3, R4 divide voltage circuit. Vi1 is added to the inverting input of the op amp, Vi2 is added to the same input terminal. The relationship of the output voltage Vo and Vi1, Vi2 are shown as above.
The output voltage is R2/R1 times of the difference between the two signals. It can get a different output voltage by proper selection of the ratio of R2/R1.
Reprinted Url Of This Article:
http://www.seekic.com/circuit_diagram/Amplifier_Circuit/Simple_differential_amplifier_circuit_diagram_composed_of_μA709.html
Print this Page | Comments | Reading(3)
Code: