Published:2009/6/18 22:33:00 Author:May | From:SeekIC


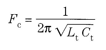
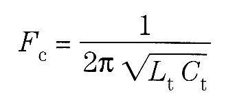
This circuit is a tuned amplifier circuit, tuned to the resonant frequency of the LC transconduc-tance network: The impedance of the transconductance network is a minimum at the resonant frequency, providing maximum amplifier gain at that frequency. The Q of the amplifier is a function of the parasitic components associated with the LO network. The graph is the frequency response of the circuit, with Lt=2.93 μH and Ct=9.9 pF.
Reprinted Url Of This Article:
http://www.seekic.com/circuit_diagram/Amplifier_Circuit/TUNED_AMPLIFIER.html
Print this Page | Comments | Reading(3)
Code: