Published:2009/7/5 22:15:00 Author:May | From:SeekIC


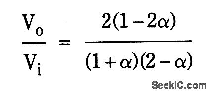
The gain of the amplifier is smoothly controllable between the limits of +1 to -1.It is adjustable over this range using a single potentiometer. The voltage gain of the arrangement is given by:
Where ct represents the fractional rotation of the potentiometer.
Reprinted Url Of This Article:
http://www.seekic.com/circuit_diagram/Amplifier_Circuit/VARIABLE_GAIN_AND_SIGN_OP_AMP_CIRCUIT.html
Print this Page | Comments | Reading(3)
Code: