Published:2009/7/22 20:20:00 Author:Jessie | From:SeekIC


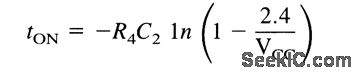
This circuit requires about 5 seconds to turn on (for the gain and supply voltages shown). The turn-on time is approximately
Reprinted Url Of This Article:
http://www.seekic.com/circuit_diagram/Audio_Circuit/Typical_tape_playback_amplifier.html
Print this Page | Comments | Reading(3)
Code: