Published:2009/7/15 23:22:00 Author:Jessie | From:SeekIC




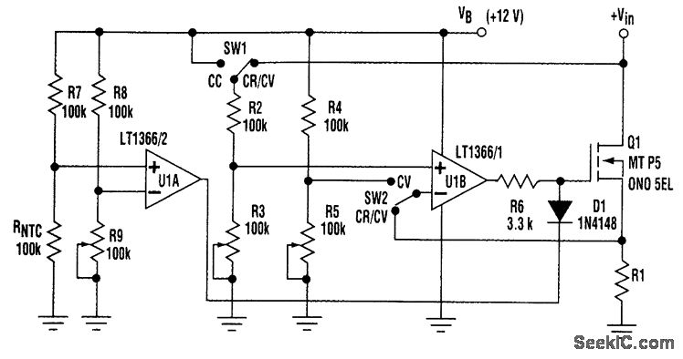
The design idea presented here concerns an active power resistor. It can be used as a load resis-tor when probing or servicing power supplies. The circuit can work in three different modes. It can act as a constant resistor (mode CR), or as a constant current from a supply of any positive voltage. Finally, it can be in constant-voltage mode (CV), in which the circuit loads the voltage across supply terminals to a constant value adjusted by the user. The power MOSFET transistor Q1 works as a resistive component. The transistor gate is controlled by an op amp (U1B). The feedback voltage, which can be selected by switch SW2, is connected to the amplifier's inverting input. In CC and CR modes, the feedback voltage is the voltage between the source resistor (R1) terminals, which is proportional to the amplifier supply voltage (VB) through a voltage-divider circuit (R4-R5). The amplifier noninverting input is controlled by a control voltage. The control-voltage input can be selected by switch SW1. In CR and CV modes, that input is the resistor input voltage (Vin), and in CC mode, it is the amplifier supply voltage (VB). The control voltage is set in voltage divider R2-R3 to a proper value to control the amplifier. The other op amp (U1A) protects the MOSFET transistor. It is con-trolled by a resistor bridge circuit consisting of three resistors (R7 through R9) and an NTC resistor. The NTC is in contact with the transistor cooling element. With moderate element temperatures, the output voltage of U1A is high, and thus has no effect on the transistor gate because of the reverse-biased diode (D1). If the element temperature becomes high, the amplifier output has a zero value, which takes the transistor gate voltage to zero through the diode. The amplifiers also can be powered directly from the resistor input voltage. This circuit can work in CR mode without any control voltage. In CC and CV modes, however, it should be controlled by the external voltage CC/CV input. The circuit acts in CR mode as a resistor that has a resistance of
The required resistance value can be adjusted by potentiometer R3. In CC mode, the circuit sinks a current The sink current
also can be adjusted by potentiometer R3 In CV mode,the voltane between theLerminals of the resistor is:
The required constant voltage can be adjusted by both R3 and R5
Reprinted Url Of This Article:
http://www.seekic.com/circuit_diagram/Basic_Circuit/ACTIVE_LOAD_RESISTOR.html
Print this Page | Comments | Reading(3)
Code: