Published:2009/6/18 20:57:00 Author:May | From:SeekIC



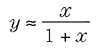
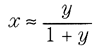
If one arm of a Wheatstone Bridge varies from its nominal value by a factor,(1 + 2x), the voltage or current output of the bridge will be(with appropriate polarities):Linear response requires very small x and,usually,prearrtplification.The circuit shown here enables Iarge-deviation bridges to be used without losing linearity.The circuit computes the inverse of the bridge function, i.e.,Depending on which arm of the bridge varies, it might be necessary to reverse the polarity of the z connections.
Reprinted Url Of This Article:
http://www.seekic.com/circuit_diagram/Basic_Circuit/Analog_Circuit/BRIDGE_LINEARIZING_FUNCTION.html
Print this Page | Comments | Reading(3)
Code: