Published:2009/6/24 3:13:00 Author:May | From:SeekIC

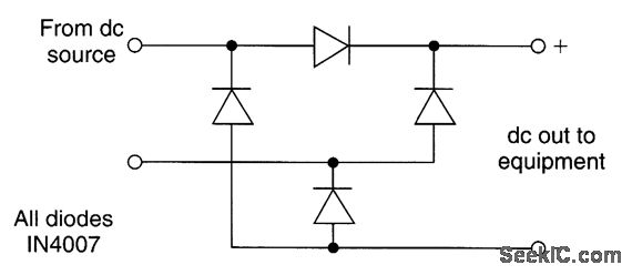
The use of a four-diode bridge guarantees correct polarity irrespective of input dc polarity. Remember that two diode drops (about 1.2 to 1.5 V) are lost from the input voltage using this circuit
Reprinted Url Of This Article:
http://www.seekic.com/circuit_diagram/Basic_Circuit/Analog_Circuit/POLARITY_PROTECTOR.html
Print this Page | Comments | Reading(3)
Code: