Published:2009/6/22 22:35:00 Author:May | From:SeekIC


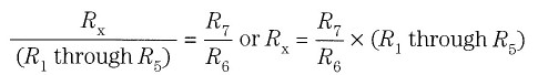
This circuit can be used to measure resistances. R7 is calibrated and fitted with an indicator dial, Lhen:
A frequency of 1 kHz for the audio oscillator is usually used.
Reprinted Url Of This Article:
http://www.seekic.com/circuit_diagram/Basic_Circuit/Analog_Circuit/WHEATSTONE_BRIDGE.html
Print this Page | Comments | Reading(3)
Code: