Published:2009/7/10 4:50:00 Author:May | From:SeekIC



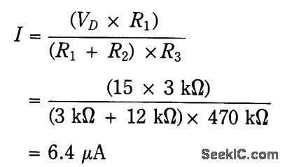
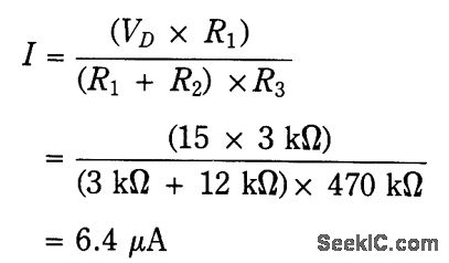
ICA, R1 through R3, and Q1 form a current source. The current that charges C1 is given by:
The input signal drives ICD. Because ICD's positive input (V+) is slightly offset to +0.1 V, its steady-state output will be near + 13 V. This voltage is sent to ICC through D2, setting ICC's output to +13 V. Therefore, point D is cut off by D1, and C1 is charged by the current source. Assuming the initial voltage on C1 is zero, the maximum voltage (I/Cmax) is given by:
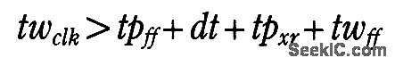
The right side of the inequality should be the minimum pulse width (either up time or down time) of the input clock. The circuit, when constructed with standard 74F-type parts, operates without any added delay in the exclusive-0R feedback path and with an input frequency of up to 22.5 MHz. The circuit's output signal will have the same duty cycle as the input clock.
Reprinted Url Of This Article:
http://www.seekic.com/circuit_diagram/Basic_Circuit/CLOCK_INPUT_FREQUENCY_DIVIDER.html
Print this Page | Comments | Reading(3)
Code: