Published:2009/7/9 1:10:00 Author:May | From:SeekIC


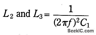
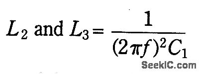
This circuit uses an MPF102 JFET and a double-tuned common-gate amplifier. Gain is typically 10 to 15 dB∶L1≈ 10% turns on L2 or 1 turn (larger of these two).
Reprinted Url Of This Article:
http://www.seekic.com/circuit_diagram/Basic_Circuit/DOUBLE_TUNED_JFET_PRESELECTOR.html
Print this Page | Comments | Reading(3)
Code: