Published:2009/6/26 4:08:00 Author:Jessie | From:SeekIC


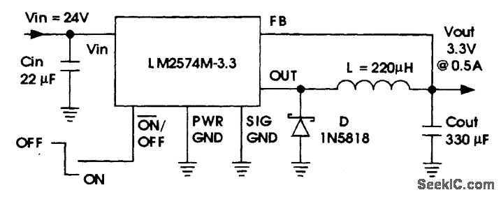
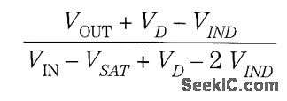
The National Semiconductor LM2574 delivers 3.3 V out at O.SAfrom a 24-V source. The duty cycle is:VD = diode drop(0.39)VIND = inductor dc dropVSAT = saturation voltage of LM2574(0.9 V typical)
Reprinted Url Of This Article:
http://www.seekic.com/circuit_diagram/Basic_Circuit/Digital_Circuit/24_V_TO_33_V_SWITCHING_REGULATOR.html
Print this Page | Comments | Reading(3)
Code: