Published:2009/6/26 4:05:00 Author:Jessie | From:SeekIC


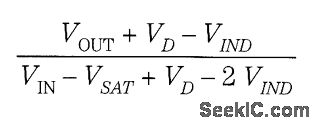
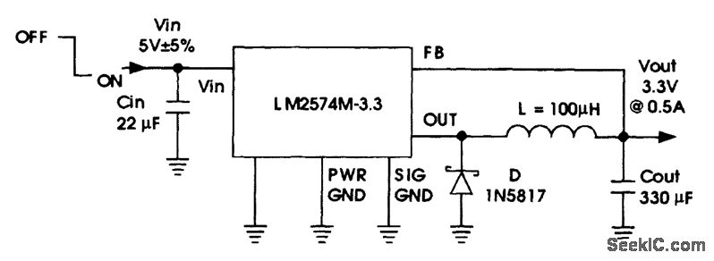
A National Semiconductor LM2574 is used to derive 3.3 V at 0.5 A from a 5-V logic bus. The duty cycle is: VD = diode drop (0.39) VIND = inductor dc drop VSAT = saturation voltage of LM2574 (0.9 V typical) This circuit should be useful to derive 3.3 V for logic devices from existing +5-V buses.
Reprinted Url Of This Article:
http://www.seekic.com/circuit_diagram/Basic_Circuit/Digital_Circuit/5_V_TO_33_V_SWITCHING_REGULATOR.html
Print this Page | Comments | Reading(3)
Code: