Published:2009/6/23 3:25:00 Author:May | From:SeekIC



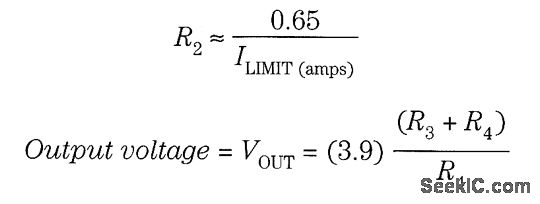
This regulator uses the drop across R2 to turn on Q2, removing base drive from Q1 and reducing the current through R1. About 0.65 V must be dropped across R2 before limiting occurs. To set limit current,
Reprinted Url Of This Article:
http://www.seekic.com/circuit_diagram/Basic_Circuit/Digital_Circuit/CURRENT_LIMITING_REGULATOR_CIRCUIT.html
Print this Page | Comments | Reading(3)
Code: