Published:2012/7/11 2:07:00 Author:Ecco | Keyword: Impedance matching | From:SeekIC


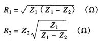
Figure 1 shows the impedance matching attenuator composed of resistor, andit is connectedbetween two networks with different impedance characteristic to play the role of matched impedance .Matching resistance in the devicecan be determined by following formula:
Z1 and Z2 areimpedance of the network 1 and network 2 , when they are respectively substituted into the above two formulas , then R1 = 259.8Ω, the R2 = 86.6Ω.
Reprinted Url Of This Article:
http://www.seekic.com/circuit_diagram/Basic_Circuit/Impedance_matching_circuit_diagram.html
Print this Page | Comments | Reading(3)
Code: