Published:2009/7/10 21:51:00 Author:May | From:SeekIC




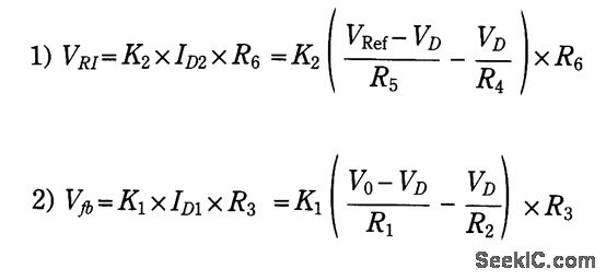
Optically isolated SMPS and dc-to-dc converters face the variance of output voltage owing to the change of transmission characteristics of an optoisolator with (a) temperature and (b) aging. The photo diode emission decays with temperature and time, and causes the output voltage to change. The problem is solved using a homoeopathic principle. An additional optical isolator is used to derive the +Ve input volt-age, instead of a conventional potential divider from internally stabilized reference. A scheme is shown using IC2524 as PWM element:where VD=forward drop of a photo diode. In equations 1 and 2, the terms:decrease with temperature. Thanks to -Ve, temperature coefficient of VD any changes in K1, and K2, as a result of temperature and aging, track each other to maintain the output voltage constant. With proper selection of R2 and R, the output voltages are found to vary by less than 0.01%/℃ over a wide tempera-ture range.
Reprinted Url Of This Article:
http://www.seekic.com/circuit_diagram/Basic_Circuit/OUTPUT_STABILIZER.html
Print this Page | Comments | Reading(3)
Code: