Published:2009/7/9 5:36:00 Author:May | From:SeekIC


The portable charger is intended primarily to give model enthusiasts the opportunity of charging their Nicad batteries from a car battery out in the open. The supply voltage for the circuit is regulated by IC1.
When the circuit is connected to the car battery, D2 lights only if the Nicad to be charged has been connected with correct polarity. For that purpose, the + terminal of the Nicad battery is connected to the base of T1 via R8. Because even a discharged battery provides some voltage, T1 is switched on and D2 lights.
Only if the polarity is correct will the pressing of the start switch, S1, have any effect. If so, the collec-tor voltage of T1 is virtually zero so that monostable IC2 is triggered by S1. The output, pin 3, of this CMOS timer then becomes high, T2 is switched on and relay Re1 is energized. Charging of the Nicad battery, via R5 and D6, then begins and charging indicator D4 lights. During the charging, C4 is charged slowly via P1 and R4. The.value of these components determines the mono time of IC2 and thus the charging period of the Nicad battery. With values as shown in the diagram, that period can be set with P1 to between 26 and 33 min. Notice that this time is affected by the leakage current of C4; use a good-quality capacitor here. The charging can be interrupted with reset switch S2.
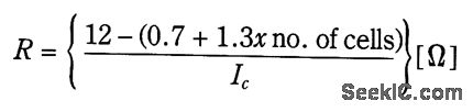
The charging current through the Nicad battery is determined by the value of R, which can be calcu-lated:
IC is the charging current, which is here because the chosen charging period is twice the nominal value of the capacity of the Nicad battery. Resistor R must be able to dissipate a power of IC2RW. Finally, make sure that the Nicad battery is suitable for fast charging; never charge for longer than half an hour!
Reprinted Url Of This Article:
http://www.seekic.com/circuit_diagram/Basic_Circuit/PORTABLE_NICAD_CHARGER.html
Print this Page | Comments | Reading(3)
Code: