Published:2009/7/9 1:14:00 Author:May | From:SeekIC


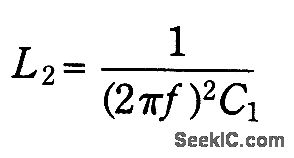
This preselector will improve the performance of simple shortwave receivers. L2 is tuned with Q1.The inductance of L2 is:and L1is found around the cold end of L2. Typically, L1 has 10%of the turnsin L2, or one turn, which-everis larger.
Reprinted Url Of This Article:
http://www.seekic.com/circuit_diagram/Basic_Circuit/SIMPLE_JFET_PRESELECTOR.html
Print this Page | Comments | Reading(3)
Code: