Published:2012/8/12 20:52:00 Author:Ecco | Keyword: basic circuit , mirror , constant current source | From:SeekIC


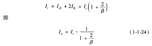
The basic circuit of the mirror constant current source is shown as the figure,and VT1, VT2 are MAPs. From the figure, the Ir = Ic2 + IB1 + IB2. Because VT1, VT2are symmetrical, the collector currentis equal tobase current, so
When Ir is determined, the constant current source output current Io is also identified. When β is large enough , Io ≈ Ir, and that is, the output current is approximately equal to the reference current , the circuit is often referred to a current mirror circuit.
Reprinted Url Of This Article:
http://www.seekic.com/circuit_diagram/Basic_Circuit/The_basic_circuit_diagram_of_mirror_constant_current_source.html
Print this Page | Comments | Reading(3)
Code: