Published:2011/5/16 4:13:00 Author:Christina | Keyword: Transistor, internal circuit | From:SeekIC

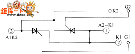
The Transistor AK55GB40 and AK55GB80 internal circuits are as shown:
Reprinted Url Of This Article:
http://www.seekic.com/circuit_diagram/Basic_Circuit/Transistor_AK55GB40_and_AK55GB80_internal_circuits.html
Print this Page | Comments | Reading(3)
Code: