Published:2009/7/25 4:38:00 Author:Jessie | From:SeekIC


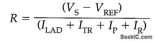
Figure 9-6 shows the ADC0816/17 connected with the external reference used asthe supply. The LM336-5.0 provides regulated 5-V for the ADC power andreference inputs as well as for the power input of other components in the system Of course an unregulated supply greater than 5 V is required for V+ Seriesresistor R is chosen so that the maximum current needed by the system is supplied and the LM336-5.0 is kept in regulation,The value of R is found by∶
where VS=unregulated supply voltage; VREF=reference voltage; ILAD =VREF/1 kΩ resistor ladder current; ITR =transducer currents IP=system power supply requirements; and IR = minimum reference current.NATIONAL SEMICONDUCTOR APPLICATION NOTE 258. 1994, P. 594.
Reprinted Url Of This Article:
http://www.seekic.com/circuit_diagram/Basic_Circuit/Using_the_referenc_as_the_supply.html
Print this Page | Comments | Reading(3)
Code: