Published:2011/5/16 4:41:00 Author:Christina | Keyword: transistor, internal circuit | From:SeekIC


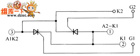
The transistor AK25HB120 and AK25HB160 internal circuits:
Reprinted Url Of This Article:
http://www.seekic.com/circuit_diagram/Basic_Circuit/transistor_AK25HB120_and_AK25HB160_internal_circuits.html
Print this Page | Comments | Reading(3)
Code: