Published:2009/6/19 2:41:00 Author:May | From:SeekIC


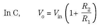
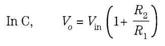
The four circuits shown are: a passive and active integrator, an analog tachometer, a scaling amplifier, and a capacitance meter.
Reprinted Url Of This Article:
http://www.seekic.com/circuit_diagram/Measuring_and_Test_Circuit/ANALOG_TACHOMETER_CIRCUITS.html
Print this Page | Comments | Reading(3)
Code: