Published:2011/6/16 21:58:00 Author:qqtang | Keyword: FM demodulator circuit | From:SeekIC


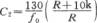
In the figure is the 567 FM demodulator circuit. In the figure, the FM signal is input from 3-pin and the demodulated signal is output from 5-pin. The central frequency of the FM signal that the circuit can demodulate is: fo=1.1/RC. In the circuit, C1 is the filtering capacitor, C2 is the wide band adjusting capacitor, when C2 is going down, the band width of the demodulator is rising. The selecting basis of C2 is:
There is also a demodulation indicating circuit. When the demodulation is right, 8-pin is outputting a low LEV. When the indicator is on, it is glowing, the indicator can also be pick out and used as the control signal.
Reprinted Url Of This Article:
http://www.seekic.com/circuit_diagram/Measuring_and_Test_Circuit/The_567_FM_demodulator_circuit.html
Print this Page | Comments | Reading(3)
Code: