Published:2009/7/24 4:07:00 Author:Jessie | From:SeekIC




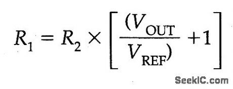
Figure 8-12 shows a MAX757 connected to provide an adjustable output from 2.7 V to 5.5 V, with a low-battery function. Figure 8-13 shows component suppliers. Let R2 be 100 kΩ, and select R1 for a desired output using:Where VREF is 1.25 V. Let R4 100 kΩ, and select R3for a desired threshold of the low-battery detector using:where VREF is 1.25V. MAXIM NEW RELEASES DATA BOOK, 1994. P. 4-178.
Reprinted Url Of This Article:
http://www.seekic.com/circuit_diagram/Power_Supply_Circuit/Adjustable_step_up_converter.html
Print this Page | Comments | Reading(3)
Code: