Published:2009/6/23 4:12:00 Author:May | From:SeekIC


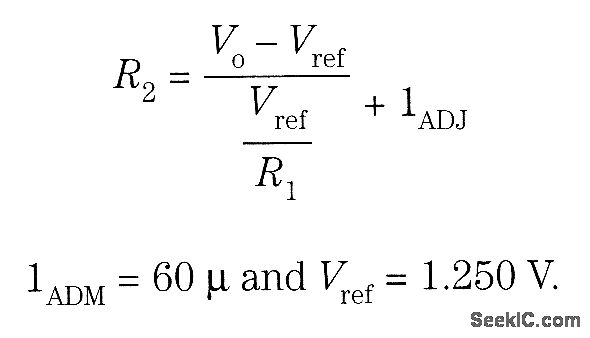
The adjustable version of the LT1585 makes it relatively easy to accommodate multiple microprocessor power-supply voltage specifications. To retain the tight tolerance of the LT1585 internal reference, a 0.5% resistor adjustment is recommended. R1 is sized to carry approximately 10 mA idling current (≤124 Ω), angl R2 is calculated from:
Reprinted Url Of This Article:
http://www.seekic.com/circuit_diagram/Power_Supply_Circuit/FAST_33_V_ADJUSTABLE_REGULATOR.html
Print this Page | Comments | Reading(3)
Code: