Published:2011/6/13 6:50:00 Author:Christina | Keyword: Feedback | From:SeekIC
















In the practical applications, we usually need to add the feedback circuit to the operational amplifier. Because the open-loop gain of the operational amplifier is high, but in the practical applications the open-loop gain of the operational amplifier is not high, so we need to add the negative feedback circuit to form the closed loop to get the corresponding functions. In addition, in the depth feedback conditions, the performance of the operational amplifier will be much better.
Same-phase input feedback amplifier circuit
The figure shows the same-phase input feedback amplifier circuit. We add the negative feedback resistance Rf from the output port to the reverse phase input, the input voltage is input from the same-phase port.
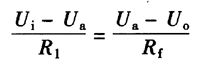
According to the open loop voltage gain expression, we can list:
Reverse phase input feedback amplifier circuit:
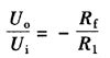
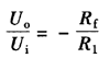
Closed-loop gain:
The negative sign of the formula means the phase position of the output voltage and the input voltage is opposite. The formula shows that as long as the AUD is large enough, the closed-loop gain of this amplifier is only decided by the ratio of the resistance Rf and resistance R1, it has nothing to do with other parameters.
Reprinted Url Of This Article:
http://www.seekic.com/circuit_diagram/Power_Supply_Circuit/Feedback_circuit.html
Print this Page | Comments | Reading(3)
Code: