Published:2009/6/15 21:53:00 Author:May | From:SeekIC






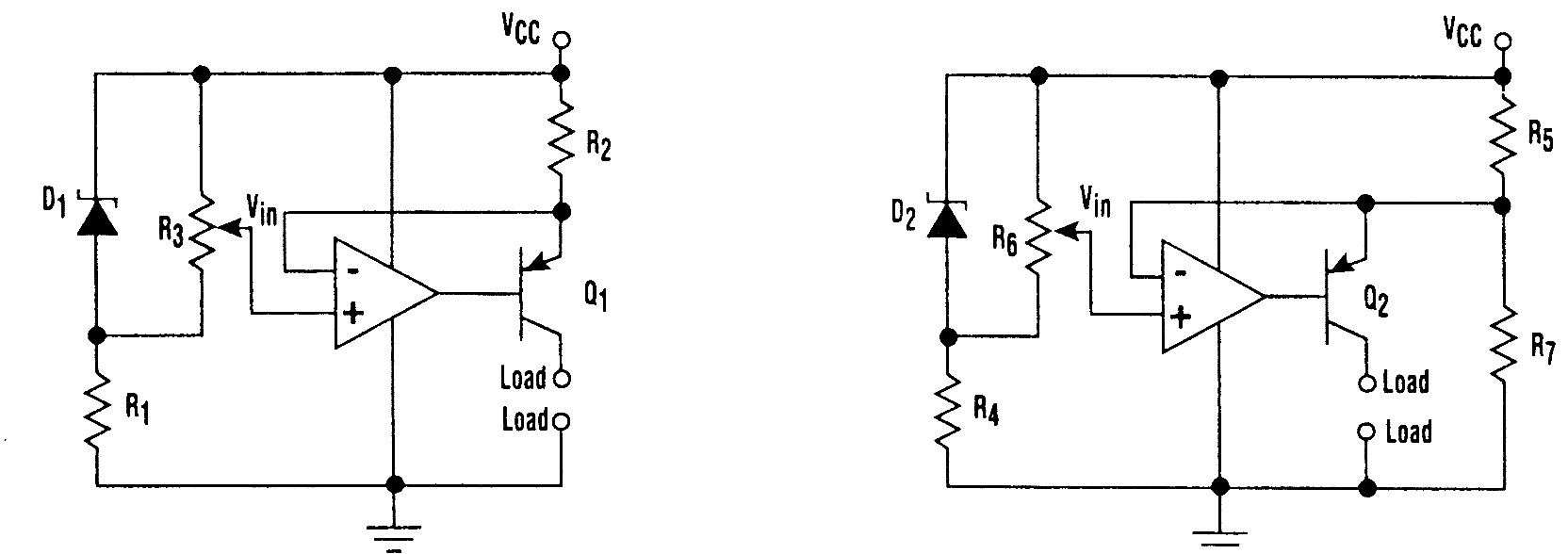
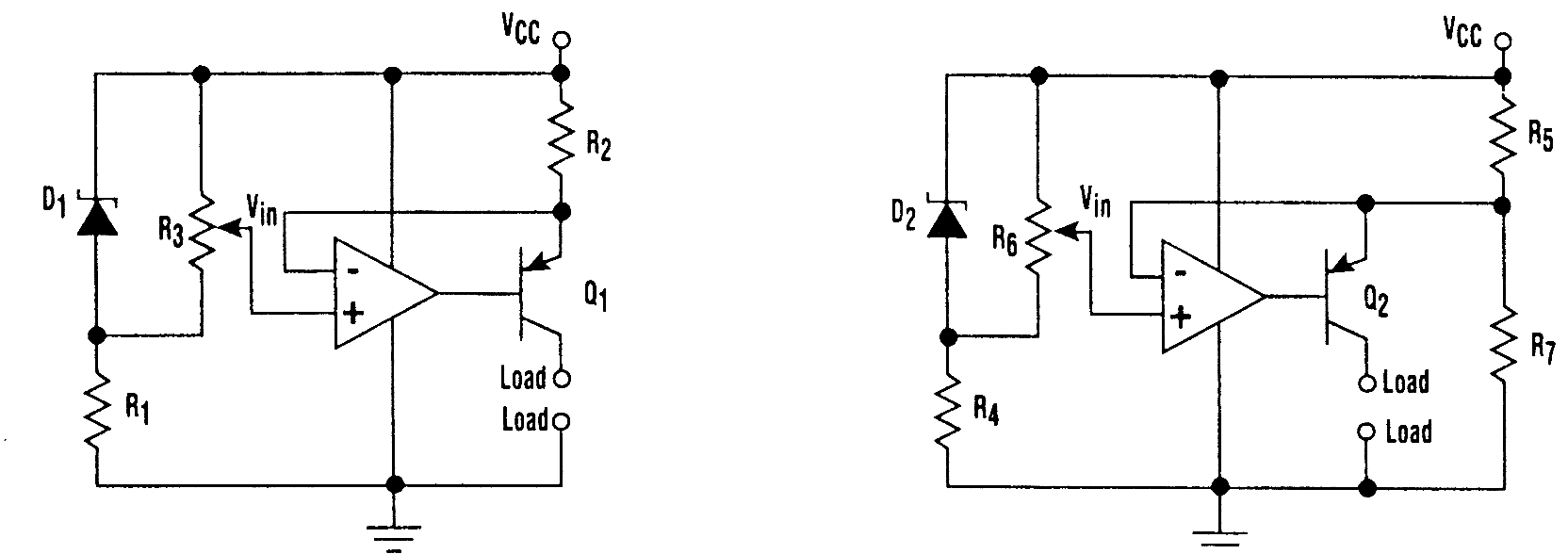
1. Though this setup can act as a cost-effective current source with an output accurate to 1%, the voltage offset will turn on the current source even when VCC equals Vin.2. Modifying the configuration of Figure 1 can rectify the problem of the current source being turned on by the voltage offset. The addition of R7 allows an adjustment that guarantees turn-off for any op-amp offset specification.
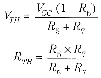
By carefully choosing components,you can create a cost effective circuit for a current Sourcewith an output that's accurate to 1%(Fig A). IOUT (the current flowing from the collector of Q1) is VCC-VIN(the voltage at the wiper of R3)divided by the value of R2.In some instances,it's important to be able to turn off the current source (within the limits of ICEO for Q1). Unfortunately, in about half of these cases,the offset voltage (Vos) of the op amp willturn the current Source on even when VCC=VIN That's because the offset voltage(when the norunverting input needs to be at a higher potential than the inverting input to get an output of 0V from the op amp) is impressed across R2 This offset voltage forces Q1 to turn on enough to yield a collector current of Vos divided by R2. Figure B offers a fix for this predicament The addition of R7 presents the emitter of Q2 with a Thevenin equivalent voltage and resistance represented by∶
The difference between VCC and VTH is VCC (R5/R5+R7) If VCC(R5/R5+R7) is set equal to the maximum Vos spec for the Op amp in question,the circuit is then guaranteed to turn off. This circuit hasan output current of VTH-VIN divided by RTHThe compromlse of Fig B does present another error term In the circuit The term (VTH-VIN)will have to be 2×VOS to guarantee a current output for whole population ofthe op amp chosen Thiserror can be made arbitrarily small (but not zero) by mcreasmg the voltage of D2 and VCC while raising the value of D2 and VCC while also ratsmg the value ofthe equivalent resistance RTH.
Reprinted Url Of This Article:
http://www.seekic.com/circuit_diagram/Power_Supply_Circuit/OFFSET_ADJUSTING_CURRENT_SOURCE.html
Print this Page | Comments | Reading(3)
Code: