Published:2009/7/17 3:30:00 Author:Jessie | From:SeekIC


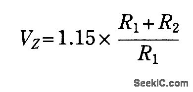
The ICL8212 is connected as a programmable zener diode,Zener voltages from 2 V up to 30 V can be programmed by suitably selecting R2.The zener voltage is∶
Because of the absence of internal compensation h the ICL8212,C1 is necessary to ensure stability.Two points worthy of note are the extremely low-knee current(less than 300 μA)and the low dynamic impedance (typically 4 to 7 ohms)over the operating current range of 300 μA to 12 mA.
Reprinted Url Of This Article:
http://www.seekic.com/circuit_diagram/Power_Supply_Circuit/PROGRAMMABLE_ZENER.html
Print this Page | Comments | Reading(3)
Code: