Published:2011/6/19 3:19:00 Author:Seven | Keyword: 3-terminal, power supply | From:SeekIC


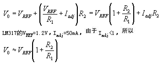
The 3-terminal adjustable regulated power supply circuit adjusts the output voltage by external resistors, to be sure the precision and stability of the output voltage, we should choose the precise resistor, and the resistor must be close to the regulator, prevent the output current from generating faulted voltage on the lines. In the figure is the application circuit of a 3-terminal dual adjustable regulated power supply, whose output voltage is:
In the figure is the 3-terminal dual adjustable regulated power supply circuit composed of LMLMl17and LM137. The figured VREF is equal to V31.
Reprinted Url Of This Article:
http://www.seekic.com/circuit_diagram/Power_Supply_Circuit/The_3_terminal_dual_adjustable_regulated_power_supply_circuit.html
Print this Page | Comments | Reading(3)
Code: