Published:2009/7/24 4:34:00 Author:Jessie | From:SeekIC




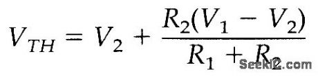
Fig, 15-18 This circuit uses an LM108 op amp as a comparator for voltages opposite polarity. The output changes state when the voltage on the junction R1/R2 is equal to VTH (at pin 2). This is expressed by:
National Semiconductor, Linear Applications Handbook, 1991, p. 71.
Reprinted Url Of This Article:
http://www.seekic.com/circuit_diagram/Signal_Processing/Comparator_with_output_buffer.html
Print this Page | Comments | Reading(3)
Code: