Position: Home > Circuit Diagram > Basic Circuit > Index 96
Low Cost Custom Prototype PCB Manufacturer

Basic Circuit

Index 96



ibmg737-66n (23-g6132) 17-inch digital color display video circuit

Published:2011/12/9 0:36:00 Author:Ecco | Keyword: 17-inch , digital color display, video

ibmg737-66n (23-g6132) 17-inch digital color display video circuit
  (View)

View full Circuit Diagram | Comments | Reading(651)

OPA335 and the reference voltage source REF3025 circuit in LOG102 input end

Published:2011/12/9 0:38:00 Author:Ecco | Keyword: reference voltage source , input end

OPA335 and the reference voltage source REF3025 circuit in LOG102 input end
  (View)

View full Circuit Diagram | Comments | Reading(728)

5Z3P +6 N P full-gall regulator rectifier circuit

Published:2011/12/9 0:56:00 Author:Ecco | Keyword: full-gall regulator rectifier

5Z3P +6 N  P full-gall regulator rectifier circuit
  (View)

View full Circuit Diagram | Comments | Reading(1970)

The medium-speed switch circuit of transistor

Published:2011/12/8 1:25:00 Author:Ecco | Keyword: medium-speed switch , transistor

The medium-speed switch circuit of transistor
  (View)

View full Circuit Diagram | Comments | Reading(897)

Proximity-switch transistor

Published:2011/12/7 21:31:00 Author:Ecco | Keyword: Proximity-switch , transistor

Proximity-switch transistor
  (View)

View full Circuit Diagram | Comments | Reading(830)

The low-speed switching circuit of transistor

Published:2011/12/7 21:27:00 Author:Ecco | Keyword: low-speed , switching circuit, transistor

The low-speed switching circuit of transistor
  (View)

View full Circuit Diagram | Comments | Reading(791)

High-speed switching circuit of transistor

Published:2011/12/7 21:10:00 Author:Ecco | Keyword: High-speed , switching circuit , transistor

High-speed switching circuit of transistor
  (View)

View full Circuit Diagram | Comments | Reading(1692)

Transistor inverter circuit

Published:2011/12/7 21:09:00 Author:Ecco | Keyword: Transistor inverter

Transistor inverter circuit
a)shows the PNP transistor inverter.b) shows NPN transistor inverter.   (View)

View full Circuit Diagram | Comments | Reading(2470)

The monostable circuit with clamp

Published:2011/12/7 21:08:00 Author:Ecco | Keyword: monostable circuit , clamp

The monostable circuit with clamp
  (View)

View full Circuit Diagram | Comments | Reading(653)

Monostable circuit with longer transient stability time

Published:2011/10/18 22:04:00 Author:Ecco | Keyword: Monostable circuit , longer , transient stability time

Monostable circuit with longer transient stability time
  (View)

View full Circuit Diagram | Comments | Reading(605)

Emitter-coupled bistable circuit with threshold voltage value

Published:2011/10/18 21:43:00 Author:Ecco | Keyword: Emitter-coupled bistable , threshold voltage value

Emitter-coupled bistable circuit with threshold voltage value
  (View)

View full Circuit Diagram | Comments | Reading(661)

Inverter circuit diagram

Published:2011/12/8 1:33:00 Author:Ecco | Keyword: Inverter

Inverter circuit diagram
  (View)

View full Circuit Diagram | Comments | Reading(3432)

The application circuit diagram of L5991 in 90 W computer monitor power

Published:2011/12/8 1:37:00 Author:Ecco | Keyword: application circuit, 90 W , computer monitor, power

The application circuit diagram of L5991 in 90 W computer monitor power
  (View)

View full Circuit Diagram | Comments | Reading(2125)

FET driver circuit diagram

Published:2011/10/18 21:39:00 Author:Ecco | Keyword: FET driver

FET driver circuit diagram
As the maximum amplitude of the oscillation signal voltage output by square wave signal generator is is 0 ~ 5V, it is the full drive power switching circuit, where TR1, TR2 can amplify the oscillator signal voltage to 0 ~ 12V.   (View)

View full Circuit Diagram | Comments | Reading(894)

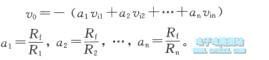
Addition operation circuit

Published:2011/12/6 1:04:00 Author:Ecco | Keyword: Addition operation

Addition operation circuit
Addition operation circuit

  (View)

View full Circuit Diagram | Comments | Reading(649)

Integral circuit

Published:2011/12/6 1:07:00 Author:Ecco | Keyword: Integral circuit

Integral circuit
  (View)

View full Circuit Diagram | Comments | Reading(724)

The one-time filter circuit based on RC circuit

Published:2011/12/6 1:14:00 Author:Ecco | Keyword: one-time filter , RC circuit

The one-time filter circuit based on RC circuit
(a) shows the status when the circuit has no load. (b) when it connects to the load, the features of the circuit changes with load.   (View)

View full Circuit Diagram | Comments | Reading(638)

The low-pass filter using op-amp

Published:2011/12/6 1:17:00 Author:Ecco | Keyword: low-pass filter , op-amp

The low-pass filter using op-amp
If R1 = R2, the gain in the low frequency range is 1 (= 0db)   (View)

View full Circuit Diagram | Comments | Reading(994)

Differential circuit

Published:2011/12/5 21:12:00 Author:Ecco | Keyword: Differential circuit

Differential circuit
  (View)

View full Circuit Diagram | Comments | Reading(704)

Analog mechanical system circuit

Published:2011/12/5 21:13:00 Author:Ecco | Keyword: Analog, mechanical system

Analog mechanical system circuit
  (View)

View full Circuit Diagram | Comments | Reading(683)

Pages:96/471 At 2081828384858687888990919293949596979899100Under 20