Published:2011/5/6 6:34:00 Author:Robert | Keyword: Pulse Signal Generator
The Simple Pulse Signal Generator Circuit Composed Of 74LS00 is shown in the picture below. This Signal Generator uses mainly two TTL integrated circuit (74LS00) to generate t=4us pulse signal. Its components used is just a few so that it is easy foradjustment andmaintenance.
(View)
View full Circuit Diagram | Comments | Reading(1900)
Published:2011/5/8 8:29:00 Author:Felicity | Keyword: Non-inverting Proportional Circuit Diagram,



The input signal of non-inverting proportional circuit diagram(Fig 1)is inputted by the non-inverting terminal .The output signal is proportion to the input signal and has the same phase .
The voltage gain :
Fig.1 Non-inverting Proportional Circuit
2 Non-inverting follower is made by the non-inverting proportional circuit while the resistance R1 of the inverting terminal is open, the output and the input signals are the same. (View)
View full Circuit Diagram | Comments | Reading(532)
Published:2011/5/8 22:01:00 Author:Christina | Keyword: Ji Nuoer, direct-cooling fridge


The Ji Nuoer direct-cooling fridge circuit is as shown:
(View)
View full Circuit Diagram | Comments | Reading(613)
Published:2011/5/8 21:56:00 Author:Christina | Keyword: Ji Nuoer, fridge


The Ji Nuoer brand BCD-215 fridge circuit is as shown:
(View)
View full Circuit Diagram | Comments | Reading(498)
Published:2011/5/8 21:04:00 Author:Christina | Keyword: Xiling, fridge
The Xiling BYD-170 fridge circuit is as shown:
(View)
View full Circuit Diagram | Comments | Reading(539)
Published:2011/5/8 21:04:00 Author:Christina | Keyword: Xiling, fridge


The Xiling BCD-162 fridge circuit is as shown:
(View)
View full Circuit Diagram | Comments | Reading(514)
Published:2011/5/8 21:01:00 Author:Christina | Keyword: Xiaoya, automatic washing machine, principle circuit
The Xiaoya TEMA831A automatic washing machine principle circuit is as shown:
(View)
View full Circuit Diagram | Comments | Reading(4153)
Published:2011/5/8 20:58:00 Author:Christina | Keyword: Changqing, fridge


The Changqing RDE-171 fridge circuit is as shown:
(View)
View full Circuit Diagram | Comments | Reading(508)
Published:2011/5/8 20:46:00 Author:Christina | Keyword: Stable, sine wave
The Stable sine wave circuit is as shown:
(View)
View full Circuit Diagram | Comments | Reading(592)
Published:2011/5/8 19:56:00 Author:Christina | Keyword: Phase shift, sine wave, oscillator
The Phase shift sine wave oscillator circuit:
(View)
View full Circuit Diagram | Comments | Reading(1497)
Published:2011/5/8 19:36:00 Author:Christina | Keyword: Simple, stable, sine wave, generator
The Simple and stable sine wave generator circuit is as shown:
(View)
View full Circuit Diagram | Comments | Reading(744)
Published:2011/5/8 19:40:00 Author:Christina | Keyword: Xiling brand, Frozen, refrigeration, fridge
The Xiling brand BCD-182W refrigeration & Frozen fridge circuit is as shown:
(View)
View full Circuit Diagram | Comments | Reading(636)
Published:2011/5/6 22:08:00 Author:Sue | Keyword: Pressure Sensor, Signal Regulating
*1% thin film resistor, T1 is sensor NPH-8-100AH. (View)
View full Circuit Diagram | Comments | Reading(786)
Published:2011/5/6 21:23:00 Author:Borg | Keyword: current transformer/CT
Our company produce more than 50 types of current transformers/CTs which are widely used in electron watt-hour meters, electricity transducers,digital electrical measuring instruments,intelligent instruments,intelligent switch cabinets,intelligent motor protectors,sampling precision testers, electric relays, electrical leakage protectors, power supervisory systems and automatic control systems, functioning as the separators,transmitters and transporters,etc.
We can produce CTs of all models according to customers’ need, and the prices are low. (View)
View full Circuit Diagram | Comments | Reading(515)
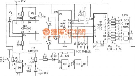
Published:2011/5/6 6:34:00 Author:Sue | Keyword: Digital Display, Clock, Signal Source
As seen in the figure, the digital display clock signal source circuit is deprived from a kind of multipoint detect and control box . It mainly consists of automatic clock pulse signal generator, manual operational pulse signal generator, pulse counter and digital display. (View)
View full Circuit Diagram | Comments | Reading(4291)
Published:2011/5/6 6:39:00 Author:Sue | Keyword: Sawtooth Wave, Generating
Sawtooth wave generating circuit used in output of Television electric field. (View)
View full Circuit Diagram | Comments | Reading(537)
Published:2011/5/6 22:13:00 Author:Sue | Keyword: Time Base, 32768Hz, Crystal SJT, 60Hz Signal


Waveform:
(View)
View full Circuit Diagram | Comments | Reading(899)
Published:2011/5/6 1:46:00 Author:Startrek | Keyword: Circuit Generator, Triangular-wave


As in the following figure, the triangular-wave diagram consists of two OPs, and the mark of R62 represents the adjustment of OFFSET, while R27 represents the adjustment of peak value. With the help of the switch, we canlink todifferent resistences, then triangular-waves with different frequencies can be made out.
(View)
View full Circuit Diagram | Comments | Reading(1057)
Published:2011/5/5 2:54:00 Author:Joyce | Keyword: Using NE555 Skillfully, as DC Voltage, Monitor
Using NE555 Skillfully as DC Voltage Monitor Circuit (View)
View full Circuit Diagram | Comments | Reading(1718)
Published:2011/5/5 2:55:00 Author:Joyce | Keyword: Using NE555 Skillfully as, Negative Voltage, Generator
Using NE555 Skillfully as Negative Voltage Generator Circuit (View)
View full Circuit Diagram | Comments | Reading(2067)
| Pages:182/195 At 20181182183184185186187188189190191192193194195 |